Disease Evaluations and Agronomic Traits of Advanced Peanut Breeding Lines in 2024
Overview
- Twenty-eight breeding lines and reference cultivars were evaluated at Oklahoma State University's Caddo Research Station in Fort Cobb for agronomic characteristics and soilborne diseases (Sclerotinia blight and pod rot).
- The disease trial was planted on June 20, 2024. Spanish and Valencia plots were dug 124 days after planting on Oct. 21; runner and Virginia plots were dug 135 days after planting on Nov. 1. The season was marked by above-average temperatures for June, July, September and October (1 to 8 degrees Fahrenheit above the 15-year average). Rainfall throughout the season was low, 0.3 to 3.25 inches below the 15-year average.
- Moderate to moderately high levels of Sclerotinia blight were observed in mid-October, but little pod rot was observed in this trial.
- The five-entry runner trial included Lariat, FloRun ‘107’, Southwest Runner, ACI N104 and one USDA-ARS breeding line. Runner entries with the numerically highest yield (≥4,964 pounds per acre) and crop values (≥$1,106 per acre) were ARSOK R109-1 and Lariat.
- The 15-entry Spanish/Valencia trial tested six Spanish (OLé, Span 17 and four ARS breeding lines) and nine Valencia (TamVal OL14, Georgia-Val/HO, IPG1288 and five New Mexico State University breeding lines) market-type entries. Among the Valencia market-type entries, NMPR25, NM23-75 and TamVal OL14 had the highest numerical crop values (≥$1,360 per acre) and yields (≥4,557 pounds per acre). Crop values among the Spanish market types were highest in ARSOK S95-1, S107-1L and Olé (≥$1,111 per acre). Span 17 had the lowest crop value at $848 per acre.
- The Virginia trial evaluated eight entries: Jupiter, Comrade, Bailey II, Emery and four breeding lines from USDA-ARS. Among the Virginia entries, Comrade had the highest crop value ($1,028 per acre) and the highest numerical yield (4,871 pounds per acre). Jupiter, V103-3 and V98 had the lowest crop values (≤$833 per acre). Virginia seed grades were relatively low (average 66%), likely due to the later planting date.
- A separate Virginia pod rot nursery field had low levels of disease. The susceptible genotype PI 378012 had 23% pod rot, and all other entries had little disease.
A major goal of the USDA-ARS peanut research program in Stillwater is to develop and release high-oleic peanut cultivars for the Southwest with improved yield, disease resistance and seed characteristics. In 2024, we evaluated commercial and advanced peanut breeding lines of runner, Spanish, Valencia and Virginia market types in small plots at the Caddo Research Station. The objectives of these field studies were to compare advanced breeding lines to commercially available cultivars for resistance to Sclerotinia blight and agronomic characteristics, such as yield, seed and pod qualities.
Methods for Evaluating Advanced Breeding Lines and Cultivars
Twenty-eight breeding lines and reference cultivars (five runner, 15 Spanish/Valencia and eight Virginia market types) were evaluated. Runner and Virginia peanut market types were grown and evaluated separately, but Spanish and Valencia entries were combined in the same field and analyzed together. All advanced breeding lines were high oleic. Each entry was planted at a density of 5 seeds/foot in plots of two 15-foot-long rows with 36-inch-wide beds. A randomized complete block design was used by dividing the field into four sections (blocks) to account for potential disease gradients and environmental variables. All plots were planted approximately one month later than normal (June 20) to ensure green foliage was available for late-season development of Sclerotinia blight. The Spanish/Valencia plots were inverted, dug 124 days after planting on Oct. 21. The runner and Virginia plots were dug 135 days after planting on Nov. 1.
All plots were irrigated 21 times (total 12.85 inches) between June 21 and Oct. 16 using a center pivot system. Each row in the two-row plots was inoculated with 0.5 grams of Sclerotinia minor sclerotia on Sept. 5. Fields were managed for weeds, foliar diseases and southern blight (caused by Agroathelia rolfsii) following Extension recommendations but were not managed for Sclerotinia blight, pod rot or nematodes. Entries were evaluated for Sclerotinia on Oct. 14. Disease incidence was measured by counting the number of 6-inch sections within each plot that had symptoms of Sclerotinia blight. All plots were examined for pod rot on the same day the plants were inverted.
Peanut grades were determined by following USDA-Agricultural Marketing Service guidelines, using two 200-gram samples from each plot. Two 500-gram samples per plot were used to measure the pod size of the Virginia entries. Yield was adjusted by factoring in the area lost due to plots being in the path of the center pivot wheels or poor seed germination. Data were analyzed using one-way ANOVA in PROC GLIMMIX of SAS (ver. 9.4). The Type I error rate for pairwise comparisons of breeding lines and cultivars was controlled at α = 0.05 using the ADJUST=TUKEY option. The crop value for each market type was calculated using the following contract prices per ton: $625, runner and Virginia; $900, Valencia; $700, Spanish.
In the separate Virginia pod rot nursery, pod rot-susceptible genotypes were planted in the same area as in 2023, and pods were left in the ground to increase the inoculum of pod-rot pathogens. The pod rot nursery was also planted one month later (June 21) to minimize volunteers, and plots were dug and rated for pod rot on Oct. 4.
Summary of 2024 Field Conditions
A total of 2,836 and 2,974 growing degree days in Fahrenheit accumulated for the 2024 Spanish/Valencia and runner/Virginia disease trials, respectively. The season was characterized by above-average temperatures (except for August) and below-average rainfall (Table 1). Cooler evening temperatures in October favored the development of Sclerotinia blight. Little southern blight and pod rot were observed.
Performance of the Runner Market-Type Entries
- Runner entries with the highest yield (≥4,964 pounds per acre) and crop values (≥$1,106 per acre) were ARSOK R109-1 and Lariat (Table 2). The average seed grade varied among entries from 64% to 72%. ACI N104 had poor germination, and by the end of the season, plots of this entry were approximately 80% in size relative to plots of other entries.
- Moderately high levels of Sclerotinia blight were observed in mid-October, and the most resistant entries were Southwest Runner (<1%) and Lariat (15%). FloRun ‘107’, the susceptible control, and ACI N104 had 68% disease incidence.
- Three-year averages were calculated for four entries (Table 3). Lariat, Southwest Runner and ARSOK R109-1 had similar yields and higher seed grades than FloRun ‘107’. Southwest Runner, the Sclerotinia-resistant control, and Lariat had the least Sclerotinia blight at 4% and 17%.
Performance of the Spanish/Valencia Market-Type Entries
- Among the Valencia market-type entries, NMPR25, NM23-75 and TamVal OL14 had the highest numerical crop values (≥$1,360 per acre) and yields (≥4,557 pounds per acre). Crop values among the Spanish market types were highest in ARSOK S95-1, S107-1L and Olé (≥$1,111 per acre). Span 17 had the lowest crop value at $848 per acre.
- ARSOK S95-1, NMPR25 and OLé had the highest numerical yields (≥4,702 pounds per acre; Table 4), and NM310 and Span 17 had the lowest (≤3,586 pounds per acre).
- Seed grade in Spanish market types ranged from 68% (Span 17) to 72% (S107-1L). True Valencia genotypes had less than 68% grades; red-seeded runner entries Georgia-Val/HO and IPG 1288 had grades of 70% and 69%.
- High levels (>72%) of Sclerotinia blight were found on Span 17, Georgia-Val/HO and IPG 1288. Of the small-seeded runners, R58B and S95-1 had less than 20% disease incidence. Low levels of Sclerotinia blight were present on true Valencia and Spanish genotypes (<5%).
- OLé had the highest numerical yield among the 10 entries evaluated for the past two years (Table 5). ARSOK R58B had the highest grade at 71%, and IPG 1288 had the most Sclerotinia blight at 55%.
Performance of the Virginia Market-Type Entries
- Among the Virginia entries, Comrade had the highest numerical crop value ($1,028 per acre; Table 6) and yield (4,871 pounds per acre). Jupiter, V103-3 and V98 had the lowest crop values (≤$833 per acre).
- Due to the later planting date and early digging date (135 days after planting), the average seed grade was relatively low, ranging from 63% to 69%.
- ARSOK entries V98 and V99 had the lowest levels of Sclerotinia blight (<7%), while Emery and Bailey II had the most disease (≥42.5%).
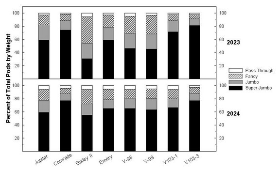
- Entries differed significantly in the number of jumbo and fancy pods per ounce (Table 6) and pod size distribution (Figure 1). ARSOK V103-3 and Comrade had the largest percentage of super jumbo pods by weight at 77%.
- Over the past two years, ARSOK V99 had the highest numerical yield (4,597 pounds per acre) and one of the lowest incidences of Sclerotinia blight (6%; Table 7). No significant differences in seed grade were present among the eight entries evaluated.

Figure 1. Percent pod size distribution by weight among Virginia entries in the 2023 and 2024 disease trials. Pods were sorted using slotted screens sized for super jumbo (40/64 x 3” slots), jumbo (37/64 x 3”) and fancy (32/64 x 3”). Pass-through (PT) pods fit through 32/64 x 3” screen.
Pod Rot Nursery
In 2024, low levels of pod rot were observed in the pod rot nursery (Table 8). The susceptible control PI 378012 had 23% pod rot, and all other entries had low levels of disease.
Acknowledgments
We thank Angie Harting, Lyndsey Aguirre, Kyren Bunyard and Karen Weckler at USDA-ARS, and Robert Weidenmaier, Harley Houston and Brennan Leighton at the Caddo Research Station for invaluable technical support. Seeds for several commercial lines were originally provided by Birdsong, Hampton Farms and the International Peanut Group. New Mexico State University breeder Naveen Puppala provided additional Valencia breeding lines.
This research is supported by USDA-ARS Current Research Information System (CRIS) Project No. 3072-21220-009-00D, the Oklahoma Peanut Commission, the National Peanut Board and OSU Ag Research.
Mention of trade names or commercial products in this publication is solely to provide specific information and does not imply recommendation or endorsement by the U.S. Department of Agriculture. The USDA is an equal opportunity provider, employer and lender.
| Month | Air Temp (oF) Avg. Max. | Air Temp (oF) Avg. Low | Air Temp (oF) Daily Mean | Air Temp (oF) Dep. 15-Year Avg. | Rainfall (inches) Total | Rainfall (inches) Dep. 15-Year Avg. | Monthly Degree Days (oF)4 |
|---|---|---|---|---|---|---|---|
| June2 | 93 (98) | 71 (75) | 82 (86) | +2 | 0.6 (0) | -3.25 | 776( 326) |
| July3 | 92 | 69 | 80 | +2 | 3.0 | -0.28 | 782 |
| August3 | 95 | 69 | 82 | 0 | 1.0 | -1.20 | 835 |
| September3 | 88 | 61 | 74 | +1 | 0.7 | -2.25 | 597 |
| October | 84 | 53 | 69 | +8 | 0.7 | -2.38 | 433 |
1 All plots planted June 20. Digging dates for Spanish/Valencia and runner/Virginia were Oct. 21 and Nov. 1.
2 June data for the month and after planting on June 20 (in parentheses).
3 Incomplete Mesonet records.
4 Peanut degree-day heat units calculated by the Mesonet using low and high thresholds of 55°F and 95°F, respectively.
| Entry | Revenue ($/A)2 | Yield (lbs/A) | Grade3 | SM4 | 100-Seed (g) | VDK (%)5 | Hull (%) | ELK (%)5 |
|---|---|---|---|---|---|---|---|---|
| ARSOK R109-1 | 1163a | 5155a | 72.3a | 27.9b | 66.8a | 0.3ab | 25.4b | 39.8ab |
| Lariat | 1106ab | 4964a | 71.5a | 15.0bc | 67.7a | 0.1b | 25.5b | 38.3ab |
| SW Runner | 1054b | 4838ab | 69.7a | 0.9c | 48.3c | 0.1b | 28.3ab | 42.2ab |
| FloRun ‘107’ | 941c | 4308b | 69.8a | 71.4a | 60.3b | 0.2b | 26.9b | 27.4b |
| ACI N104 | 527d | 2637c | 63.8b | 68.2a | 64.2ab | 0.7a | 31.3a | 46.7a |
1 Entries sorted by highest to lowest contract revenue per acre. Runners were dug Nov. 1 (135 days after planting; 2,974 growing degree days in Fahrenheit). Numbers with the same lowercase letter within columns are not significantly different (α = 0.05).
2 Based on a contract price per ton of $625 for runners. Calculations do not include deductions for excess splits or damaged and other kernels.
3 Grade = % total sound mature kernels + sound splits.
4 Incidence of Sclerotinia blight rated on Oct. 14.
5 VDK, visibly damaged kernels; ELK, extra-large kernels (21/64 screen).
| Entry | 2022-2024 Yield | 2022-2024 GRD2 | 2022-2024 SM3 |
|---|---|---|---|
| Lariat | 4957a | 71ab | 17c |
| SW Runner | 4836a | 70bc | 4d |
| ARSOK R109-1 | 4999a | 72a | 30b |
| FloRun ‘107’ | 4011b | 69c | 71a |
| Entry | 2024 Yield | 2024 GRD | 2024 SM |
|---|---|---|---|
| Lariat | 4964ab | 70 | 15b |
| SW Runner | 4838ab | 72 | 1b |
| ARSOK R109-1 | 5155a | 70 | 28b |
| FloRun ‘107’ | 4308b | 72 | 71a |
| Entry | 2023 Yield | 2023 GRD | 2023 SM |
|---|---|---|---|
| Lariat | 4584a | 70ab | 9b |
| SW Runner | 4746a | 71ab | 0b |
| ARSOK R109-1 | 4628a | 72a | 12b |
| FloRun ‘107’ | 3778b | 69b | 54a |
| Entry | 2022 Yield | 2022 GRD | 2022 SM |
|---|---|---|---|
| Lariat | 5324a | 71a | 25c |
| SW Runner | 4925a | 68ab | 10c |
| ARSOK R109-1 | 5215a | 71a | 50b |
| FloRun ‘107’ | 3775b | 66b | 88a |
1 Numbers with the same lowercase letter within columns are not significantly different (α = 0.05). No differences among entries if letters absent in column.
2 Grade = % total sound mature kernels + sound splits.
3 SM, % incidence of Sclerotinia blight. Control cultivars: susceptible (FloRun ‘107), resistant (Southwest Runner).
4 Days after planting (DAP) when dug; peanut growing degree days (GDD) heat units in Fahrenheit calculated by the Mesonet. Planting and digging dates: June 20 and Nov. 1, 2024; June 21 and Nov. 3, 2023; June 6 and Oct. 31, 2022.
| Entry | Market Type | Revenue ($/A)2 | Yield (lbs/A) | Grade3 | SM4 | 100- Seed (g) | VDK (%)5 | Hull (%) | ELK (%)5 |
|---|---|---|---|---|---|---|---|---|---|
| NMPR25 | Valencia | 1400a | 4727ab | 65.8d | 2.1c-e | 42.9g-i | 0.2 | 29.0a-d | 20.3g |
| NM23-75 | Valencia | 1367ab | 4591a-c | 66.3cd | 0.9de | 48.4ef | 0.1 | 30.7a | 38.7ef |
| TAMVal OL14 | Valencia | 1360ab | 4557a-c | 66.3cd | 0.4de | 47.7e-h | 0.1 | 30.4ab | 40.5ef |
| IPG 12886 | Valencia | 1330a-c | 4271a-d | 69.1a-d | 72.1a | 55.5cd | 0.3 | 27.8b-e | 72.0ab |
| NM16-17 | Valencia | 1326a-c | 4511a-d | 65.3d | 0.4de | 42.3hi | 0.2 | 29.2a-d | 23.7g |
| NM16-42 | Valencia | 1316a-c | 4385a-d | 66.6b-d | 2.9c-e | 43.3f-i | 0.2 | 29.0a-d | 22.8g |
| GA-Val/HO6 | Valencia | 1263a-e | 3986b-d | 70.4ab | 81.7a | 65.8a | 0.3 | 26.8de | 80.8a |
| ARSOK S95-16 | Spanish | 1201b-e | 4983a | 69.0a-d | 19.2c | 60.9ab | 0.1 | 27.5c-d | 66.5bc |
| ARSOK S107-1L6 | Spanish | 1180c-f | 4634a-c | 72.1a | 43.3b | 59.2bc | 0.2 | 25.1e | 69.3ab |
| NM-M6 | Valencia | 1119d-f | 3715cd | 66.9b-d | 4.2d-e | 43.8f-i | 0.1 | 29.2a-d | 31.3fg |
| OLé | Spanish | 1111d-f | 4702ab | 67.6b-d | 0.8de | 41.1i | 0.1 | 28.4a-d | 36.1ef |
| NM310 | Valencia | 1096d-f | 3586d | 67.9b-d | 0.8de | 43.9f-i | 0.1 | 29.5a-d | 40.2ef |
| ARSOK R58B6 | Spanish | 1090fg | 4471a-d | 69.6a-c | 18.3cd | 52.7de | 0.1 | 28.3a-d | 71.0ab |
| ARSOK S104-2E | Spanish | 1013fg | 4228a-d | 68.3a-d | 0.0e | 48.1e-g | 0.2 | 29.6a-c | 55.2cd |
| Span 176 | Spanish | 848g | 3580d | 67.7b-d | 83.4a | 49.4e | 0.1 | 28.5a-d | 46.9de |
1 Entries ordered from highest to lowest contract revenue per acre. Plots were dug on Oct. 21 (124 days after planting; 2,836 growing degree days in Fahrenheit). Numbers with the same lowercase letter within columns are not significantly different (α = 0.05). No differences among entries if letters absent in column.
2 Based on a contract price per ton of $700/ton for Spanish and $900/ton for Valencia. Calculations do not include deductions for excess splits or damaged and other kernels.
3 Grade = % total sound mature kernels + sound splits.
4 Incidence of Sclerotinia blight rated on Oct. 14.
5 VDK, visibly damaged kernels; ELK, extra-large kernels (19/64 screen).
6 Red-seeded runners: IPG 1288 and Georgia-Val/HO; small-seeded runners: Span 17, ARSOK R58B, S95-1 and S107-1L.
| Entry | 2023-2024 Yield | 2023-2024 GRD2 | 2023-2024 SM3 |
|---|---|---|---|
| OLé | 4757a | 68.9a-c | 0.4b |
| ARSOK R58B | 4341ab | 71.4a | 9.6b |
| NMPR25 | 4309ab | 67.6c | 1.5b |
| NM16-17 | 4275ab | 67.9c | 0.2b |
| TAMVal OL14 | 4223a-c | 67.8c | 0.2b |
| NM16-42 | 4168a-c | 68.4c | 1.5b |
| ARSOK S104-2E | 4048b-d | 69.2a-c | 0.0b |
| IPG1288 | 3963b-d | 70.7ab | 55.2a |
| NM-M6 | 3656cd | 68.3bc | 2.1b |
| NM310 | 3556d | 67.6c | 0.4b |
| Entry | 2024 Yield | 2024 GRD | 2024 SM |
|---|---|---|---|
| OLé | 4702a | 67.6a-c | 0.8c |
| ARSOK R58B | 4500ab | 69.6a | 18.3b |
| NMPR25 | 4727a | 65.8bc | 2.1c |
| NM16-17 | 4511ab | 65.3c | 0.4c |
| TAMVal OL14 | 4557a | 66.3a-c | 0.4c |
| NM16-42 | 4385a-c | 66.6a-c | 2.9c |
| ARSOK S104-2E | 4228a-c | 68.3a-c | 0.0c |
| IPG1288 | 3715bc | 69.1ab | 72.1a |
| NM-M6 | 3586c | 66.9a-c | 4.2c |
| NM310 | 3586c | 67.9a-c | 0.8c |
| Entry | 2023 Yield | 2023 GRD | 2023 SM |
|---|---|---|---|
| OLé | 4811a | 70.3b | 0.0b |
| ARSOK R58B | 4244ab | 73.6a | 0.8b |
| NMPR25 | 3891bc | 69.4bc | 0.8b |
| NM16-17 | 4039bc | 70.4b | 0.0b |
| TAMVal OL14 | 3889bc | 69.3bc | 0.0b |
| NM16-42 | 3951bc | 70.2bc | 0.0b |
| ARSOK S104-2E | 3867bc | 70.0bc | 0.0b |
| IPG1288 | 3656bc | 72.2ab | 38.3a |
| NM-M6 | 3596bc | 69.7bc | 0.0b |
| NM310 | 3527c | 67.3c | 0.0b |
1 Entries ordered from highest to lowest two-year yield. Numbers with the same lowercase letter within columns are not significantly different (α = 0.05).
2 GRD, grade = % total sound mature kernels + sound splits.
3 SM, % incidence of Sclerotinia blight.
4 Days after planting (DAP) when dug; peanut growing degree days (GDD) heat units in Fahrenheit calculated by the Mesonet. Planting and digging dates: June 20 and Nov. 1, 2024; June 21 and Nov. 3, 2023.
| Entry | Revenue ($/A)2 | Yield (lbs/A) | Grade3 | SM4 | 100-Seed (g) | VDK (%)5 | Hull (%) | ELK (%)5 | Super Jumbo (no./oz)6 | Jumbo (no./oz)6 | Fancy (no./oz)6 |
|---|---|---|---|---|---|---|---|---|---|---|---|
| Comrade | 1028a | 4871a | 67.5ab | 35.0ab | 97.7a | 0.6ab | 31.1bc | 62.8 | 11.0 | 17.1a-c | 25.1ab |
| Bailey II | 976ab | 4554ab | 68.6a | 42.5a | 86.4bc | 0.6ab | 30.0c | 65.3 | 11.6 | 14.1e | 19.0d |
| ARSOK V99 | 965a-c | 4656ab | 66.3a-c | 6.7bc | 77.5c | 0.2b | 32.5a-c | 60.3 | 11.3 | 16.4b-d | 22.7bc |
| Emery | 889b-d | 4276ab | 66.4a-c | 47.1a | 85.7bc | 0.5ab | 32.1a-c | 63.2 | 11.7 | 15.0de | 22.3c |
| ARSOK V103-1 | 858cd | 4175ab | 66.0a-c | 23.4a-c | 89.4ab | 0.3ab | 32.9a-c | 65.6 | 12.3 | 17.2ab | 23.0a-c |
| ARSOK V98 | 833d | 4167ab | 63.9bc | 5.0c | 88.2a-d | 0.4ab | 35.0a | 67.6 | 12.0 | 15.7b-e | 21.7c |
| ARSOK V103-3 | 822d | 4113ab | 63.9bc | 35.8ab | 84.0bc | 0.4ab | 34.6ab | 58.1 | 11.6 | 18.6a | 25.4a |
| Jupiter | 790d | 4013b | 63.1c | 32.9a-c | 82.0bc | 0.9a | 35.0a | 53.9 | 12.0 | 15.4c-e | 22.0c |
1 Entries sorted from highest to lowest contract revenue per acre. Plots dug on Nov. 1 (135 days after planting; 2,974 growing degree days in Fahrenheit). Numbers with the same lowercase letter within columns are not significantly different (α = 0.05). No differences among entries if letters absent in column.
2 Based on contract price of $625/ton. Calculations do not include deductions for excess splits or damaged and other kernels.
3 Grade = % total sound mature kernels + sound splits.
4 Incidence of Sclerotinia blight rated on Oct. 14.
5 VDK, visibly damaged kernels; ELK, extra-large kernels (21.5/64 screen).
6 Number of pods per ounce for pods riding slotted screens sized for super jumbo (40/64 x 3” slots), jumbo (37/64 x 3”) and fancy (32/64 x 3”).
| Entry | 2023-2024 Yield | 2023-2024 GRD2 | 2023-2024 SM3 |
|---|---|---|---|
| ARSOK V99 | 4597a | 67.2 | 5.8c |
| Comrade | 4487a | 67.7 | 29.2ab |
| ARSOK V98 | 4090ab | 65.2 | 4.8c |
| ARSOK V103-3 | 4069ab | 64.9 | 30.8ab |
| Jupiter | 4052ab | 64.4 | 27.0ab |
| ARSOK V103-1 | 4048ab | 65.4 | 17.0bc |
| Bailey II | 4043ab | 67.4 | 32.7ab |
| Emery | 3836b | 66.7 | 42.9a |
| Entry | 2024 Yield | 2024 GRD | 2024 SM |
|---|---|---|---|
| ARSOK V99 | 4656ab | 66.3a-c | 6.7bc |
| Comrade | 4871a | 67.5ab | 35.0ab |
| ARSOK V98 | 4167ab | 63.9bc | 5.0c |
| ARSOK V103-3 | 4113ab | 63.9bc | 35.8ab |
| Jupiter | 4013b | 63.1c | 32.9a-c |
| ARSOK V103-1 | 4175ab | 66.0a-c | 23.4a-c |
| Bailey II | 4554ab | 68.6a | 42.5a |
| Emery | 4276ab | 66.4a-c | 47.1a |
| Entry | 2023 Yield | 2023 GRD | 2023 SM |
|---|---|---|---|
| ARSOK V99 | 4537a | 66.3a-c | 5.0b |
| Comrade | 4103ab | 67.5ab | 23.3ab |
| ARSOK V98 | 4014a-c | 63.9bc | 4.6b |
| ARSOK V103-3 | 4026a-c | 63.9bc | 25.8ab |
| Jupiter | 4092ab | 63.1c | 21.1ab |
| ARSOK V103-1 | 3921a-c | 66.0a-c | 10.7b |
| Bailey II | 3531bc | 68.6a | 22.9ab |
| Emery | 3395c | 66.4a-c | 38.8a |
1 Entries are sorted from highest to lowest two-year average yield. Numbers with the same lowercase letter within columns for each market type are not significantly different (α = 0.05). No differences among entries if letters absent in column.
2 Grade = % total sound mature kernels + sound splits.
3 SM, % incidence of Sclerotinia blight.
4 Days after planting (DAP) when dug; peanut growing degree day (GDD) heat units in Fahrenheit calculated by the Mesonet. Planting and digging dates: June 20 and Nov. 1, 2024; June 21 and Nov. 3, 2023.
| Entry | Pod Rot % 2024 Pod Rot Nursery | Pod Rot % 2023 Pod Rot Nursery | Pod Rot % 2021 Cultivar/ Breeding Lines |
|---|---|---|---|
| Bailey II | 2.4b | 5.3c | - |
| Comrade | 2.8b | 11.3bc | 31.3ab |
| Emery | 2.6b | 1.3c | - |
| Jupiter | - | 20.5ab | 43.8a |
| ARSOK V98 | 3.5b | - | - |
| ARSOK V99 | 1.0b | 4.0c | 20.5bc |
| ARSOK V103-1 | 2.4b | 1.3c | 10.5c |
| ARSOK V103-3 | 2.3b | 2.3c | 4.0c |
| PI 365553 (resistant) | 1.8b | 1.0c | - |
| PI 378012 (susceptible) | 23.0a | 27.5a | - |
1 Planting dates: June 21, 2024; June 17, 2023; May 14, 2021. Numbers with the same lowercase letter within columns for each market type are not significantly different (α = 0.05).
2 Percentage of pods with symptoms of pod rot estimated within three days after digging.